Sorry I should have put on my glasses, I will check again
wondering how to decode lora
I wrote up my process some time ago - enjoy!
wow. thank you! greatzz . all spacebee are decayed. same process for all lora?
The list of possible parameters is the same for all sub-GHz LoRa packets, but make yourself a note that if youâre ever working with a 2.4 GHz LoRa device, some of the parameter values are different (in particular, BWâŚ. values are 203.125, 406.25, 812.5, 1625 kHz)
but your decode data still show at tinygs website.
based on gps data this is above pacific ocean, so too far if im correct from your gs
but the altitude and temperature look a valid, that the object decayed and in burning process
btw im wondering how you replay the decode and put into tinygs db.
My âfalse positiveâ decode was kindly purged by the admins of tinyGS & SatNogs.
Not sure where you are seeing that decode but I would guess itâs either a list that does not sync with the database after items are initially added there, or perhaps youâre viewing a cached page that needs refreshing in the browser.
As for replaying LoRa packets from I/Q recordings, I re-broadcast them over-the-air via a PLUTO where they are received by LoRa-capable devices, just like ârealâ packets from the original source. That allows me to confirm that I have the right settings on the RX side. (Theory is fine, but the real test is always whether you can obtain accurate decodes of a signal)
Of course except when the purpose is specifically to upload to databases like tinyGS & SatNogs, itâs extremely important to only use RX devices that are -not- connected to the internet or arenât programmed to upload decodes that are received.
show at info page of satellites, inside last telemetry box
thank you. answered my question.
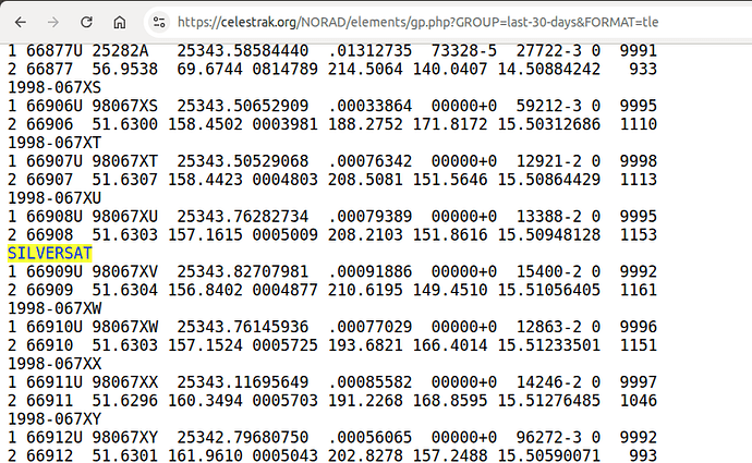
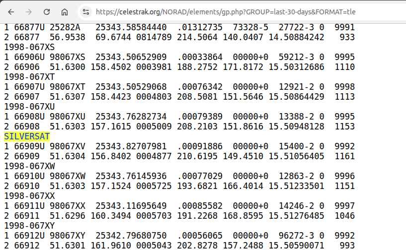
We updated TLEâs before this morningâs pass, and noticed that gpredict now considers 66909 to be âSilverSatâ. That did not come from the mission. We have yet to confirm which one is ours.
Dave
Jan - What software are you using for this analysis? This would be a really good exercise for the SilverSat students to try.
try answer, strf
Has anyone tried catalog number 66908?I have frequently (but not always) gotten stronger signal strength from it.
Not that there havenât been mistakes before, but for what itâs worth, the âofficialâ channels have IDâd 66909 as SilverSat.
My GMSK 9600 link, tracking both 66908 and 66909 has been very sporadic. We are still investigating ground station problems. In the meantime, does someone want to verify the official channels by checking 66908 or another neighboring satellite?
As davecopela told me privately, it is the satellite community, not NORAD, who relates the names to catalog numbers.
To be precise the identification in NORAD (space-track.org) can be done only be the team that owns the satellite without however being able to verify it.
In other sources usually is done through satellite âhuntersâ, like the SatNOGS community or individuals, sometimes with a verifiable way sometimes not.
In both cases, including us, we have seen mis-identifications. Also rarely there are incidents like swapping TLE but not swapping the identification.
The last years that the community here performs identification, we provide publicly data for our identifications, which allows verification and in the rare case we mis-identified something to be able to track what went wrong.
Before identification we tend to follow some objects that we believe that best fit, this is were we use the field âfollow NORAD IDâ in SatNOGS DB. This give us the opportunity to track a certain object without identifying it. This in the past have created some confusion as it was taken as identification but I think itâs clearer now.
Anyway identification process, while it can be like a game, especially with big launches like Transporter 15, it is proven that it is better to be done in its own time with verifiable and public evidence.
Back to Silversat, thatâs probably something random, maybe due to your antenna position or the satellite tumbling.
Below is the comparing of the two latest TLE sets for 66908 and 66909 objects on a recent good observation, with this we can surely identify Silversat as 66909, Iâll do when I find steal some time from the other tasks. The red line shows where the signal should be if we follow the TLE of the object:
66908:
66909:
You can clearly see that the middle transmission of the satellite fits the 66909 object, while it doesnât with the 66908 one. However you can see that those objects are relatively near to each other, so it is expected to receive the one by tracking the other, especially if the field of view of your antenna is wide to include their difference.
PS all the other objects are even worse fits than 66908.
Here a composite of 66909 and 66908 Doppler curves compared against SilverSat CW beacon transmissions from the most recent pass over the USA. Note the near perfect correlation between 66909 and SilverSatâit is surely object 66909.
As far as one TLE producing âbetter observationsâ, this may be due to many factors (Fredy has already mentioned.) These factors (not exhaustive) include both those at the satellite (eg. itâs antenna pattern leading to varying signal strength as the satelliteâs orientation changes with respect to the observer) as well as the ground station (eg. antenna polarity, beamwidth, pointing accuracy/step size, nearby objects, ground gain, and the inputs that drive the antenna system.)
To predict the satelliteâs position accurately the model inputs used must be the most recently derived and the observer variables must be too! The observerâs station location and clock must be exact to obtain the best result.
Doug K8DP
Better late than neverâŚ
Identification of SilverSat as object 66909 based on ikhnos results.
Unfortunately no signal from the other satellites of this launch that would allow us to identify more objects.






